Trình duyệt của bạn đã tắt chức năng hỗ trợ JavaScript.
Website chỉ làm việc khi bạn bật nó trở lại.
Để tham khảo cách bật JavaScript, hãy click chuột
vào đây
!
Trang nhất
Giới thiệu
Tổ chức nhà trường
Ý nghĩa của logo trường
Nội quy nhà trường
Thời khóa biểu
Khung thời gian ra - vào lớp
Tuyển sinh
Lịch làm việc tuần
CÔNG KHAI
Kho học liệu
Liên hệ
Sơ đồ cổng
RSS
Đăng nhập
Liên hệ
Chúng tôi trên mạng xã hội
Chúng tôi trên mạng xã hội
Trường THCS Chu Văn An
Ủy ban nhân dân Phường Thủ Dầu Một
Giới thiệu
Tổ chức nhà trường
Ý nghĩa của logo trường
Nội quy nhà trường
Thời khóa biểu
Khung thời gian ra - vào lớp
Tuyển sinh
Lịch làm việc tuần
CÔNG KHAI
Kho học liệu
Liên hệ
Trang nhất
Công Khai
Đăng nhập
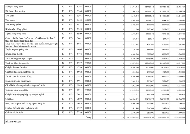
Công khai giao dự toán thu chi ngân sách nhà nước năm 2025
Trường THCS Chu Văn An
2025-11-03T14:32:27+07:00
2025-11-03T14:32:27+07:00
https://thcschuvanan.phuongthudaumot.edu.vn/cong-khai/Cong-khai-giao-du-toan-thu-chi-ngan-sach-nha-nuoc-nam-2025.html
/themes/default/images/no_image.gif
Trường THCS Chu Văn An
https://thcschuvanan.phuongthudaumot.edu.vn/uploads/thcschuvanan/logo-baner.png
Tweet
CÔNG KHAI GIAO DỰ TOÁN THU CHI NGÂN SÁCH NHÀ NƯ
ỚC NĂM 2025
Thông tin ba công khai ( Tháng 6/2018 )
Thông tin ba công khai ( Tháng 9/2018 )
Thông tin ba công khai ( tháng 5/2019 )
Thông tin ba công khai ( tháng 9/2020 )
Thông tin ba công khai ( tháng 9/2022 )
Hệ thống nghiệp vụ
Thời khóa biểu
Cổng thông tin quản lý trường học
Hệ thống học và kiểm tra trực tuyến
Tuyển sinh đầu cấp
Tài nguyên
Kho học liệu số
Cơ sở dữ liệu ngành
Họp trực tuyến
Video
Albums
Văn bản
Truyền hình giáo dục
Thăm dò ý kiến
Bạn chọn hình thức thanh toán không dùng tiền mặt nào để thanh toán các khoản phí quy định của nhà trường?
Thanh toán tích hợp mã QR trong ứng dụng Sisap -Dịch vụ chia sẻ thông tin Nhà trường - Phụ huynh
Thanh toán qua mã Sisap trên MobileBanking của Ngân hàng BIDV, Vietcombank
Thanh toán qua mã QRcode trên MobileBanking của Ngân hàng BIDV, Vietcombank
Thanh toán qua Internet Banking đến tải khoản Ngân hàng nhà trường
Xác minh bạn không phải là Robot
Thống kê truy cập
Đang truy cập
37
Máy chủ tìm kiếm
1
Khách viếng thăm
36
Hôm nay
3,323
Tháng hiện tại
56,329
Tổng lượt truy cập
23,185,209
Bạn đã không sử dụng Site,
Bấm vào đây để duy trì trạng thái đăng nhập
. Thời gian chờ:
60
giây
Chúng tôi trên mạng xã hội